Fragility in sheared dense granular suspensions

Romain Mari, Mike Cates
Department of Applied Mathematics and Theoretical Physics, University of Cambridge

Rheology of granular suspensions

Hard particles, size $10\mu m - 1mm$, density-matched, in Newtonian fluid

  • Rate-independant rheology
  • Steady-state $\eta(\phi)$

[Boyer, Guazzelli & Pouliquen, PRL 2011]
  • However, rich transient rheology

Fragility

[Cates, Wittmer, Bouchaud & Claudin, PRL 1998]

Mechanical response depends strongly on the compatibility of the instantly applied load with respect to the load history.

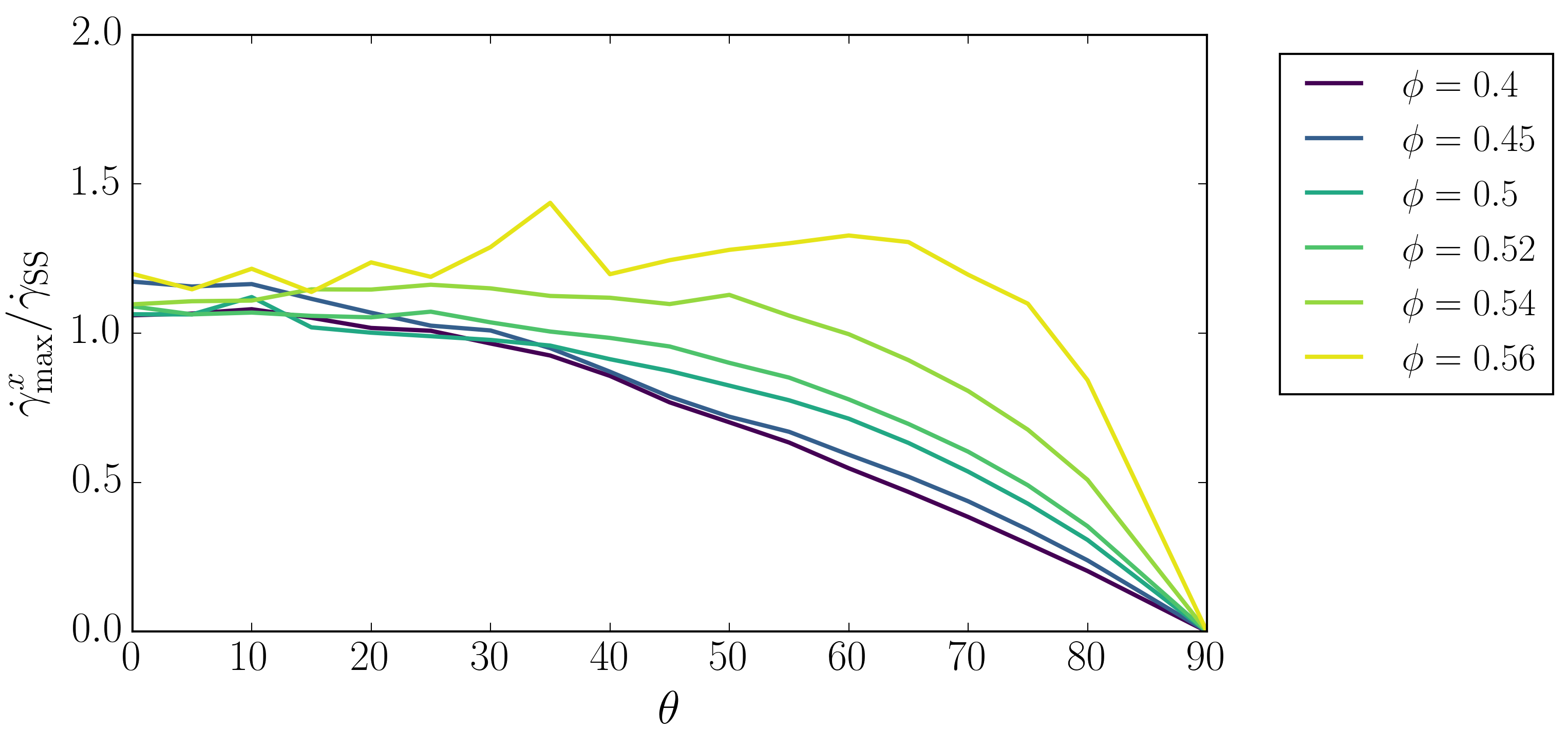
Measuring fragility


1. Shear at constant stress in the $x$ direction
(with gradient along $y$), up to steady-state

2. Shear in a new direction making an angle $\theta$ with $x$
(keeping the gradient along $y$)

$\theta$
$\theta$
$\gamma_x$
$\gamma_z$

Simulation technique

[Seto et al, PRL 2013]
[Mari et al, JOR 2014]
[Mari et al, PRE 2015]

Imposed velocity profile $U_{\infty}$, deformation rate tensor $E_{\infty} = \frac{1}{2}(\nabla U_{\infty} + \nabla U_{\infty}^{\mathrm{T}}) = \dot\gamma \hat{E}_{\infty}$

Eq. of motion (force balance)
$$\require{color} \definecolor{mblue}{RGB}{0,40,200} \definecolor{mred}{RGB}{200,40,0} \definecolor{mgreen}{RGB}{30,140,30} \definecolor{mpurple}{RGB}{100,0,100} 0= \textcolor{mred}{- R_{\mathrm{FU}} \cdot (U-U_{\infty}) + \dot\gamma R_{\mathrm{FE}} : \hat{E}_{\infty}} + \textcolor{mblue}{F_{\mathrm{C}}} $$                                             hydrodynamics                               contacts
+ Imposed stress $$\require{color} \definecolor{mblue}{RGB}{0,40,200} \definecolor{mred}{RGB}{200,40,0} \definecolor{mgreen}{RGB}{30,140,30} \definecolor{mpurple}{RGB}{100,0,100} \sigma = \textcolor{mred}{\dot\gamma (R_{\mathrm{SE}} + R_{\mathrm{SU}}\cdot R_{\mathrm{FU}}^{-1} \cdot R_{\mathrm{FE}}):\hat{E}_{\infty}} + \textcolor{mblue}{(R_{\mathrm{SU}}\cdot R_{\mathrm{FU}}^{-1} + xI)\cdot F_{\mathrm{C}}} $$

Solve for $U$ and $\dot\gamma$.

$$\require{color} \definecolor{mblue}{RGB}{0,40,200} |\textcolor{mblue}{F^{\mathrm{t}}_{\mathrm{C}}}|<\mu |\textcolor{mblue}{F^{\mathrm{n}}_{\mathrm{C}}}| $$

Shear-rate maps

Rate maxima

Max. rate location

Rate along the $x$ direction

Primary flows with oscillatory cross shear




"Unthickening" of a shear-thickening suspension (oobleck/cornstarch)
[Lin et al, PNAS, 2016]

Simple shear + oscillatory cross shear

$\gamma_x$
$\gamma_z$

$\dot\gamma_x = \dot \gamma_0$
$\dot\gamma_z = \dot \gamma_{\perp} \cos(\omega t)$

$\gamma_x = \dot \gamma_0 t$
$\gamma_z = \dot \omega^{-1} \gamma_{\perp} \sin(\omega t)$

2 dimensionless numbers:

  • amplitude $\gamma^{\max}_z = \dot \omega^{-1} \gamma_{\perp}$,
  • rate ratio $\dot \gamma_{\perp}/\dot \gamma_0$.

Simple shear + oscillatory cross shear

When $\gamma^{\max}_z \approx 1\%$ and $\dot \gamma_{\perp}/\dot \gamma_0\gg 1$,
viscosity drop actually very generic.

Simple shear + oscillatory cross shear

Viscosity drop due to contact number drop.

"Echo" experiment

[Pine, Gollub, Brady, Leshansky, Nature 2005]

"Echo" experiment

[Pine, Gollub, Brady, Leshansky, Nature 2005]

$\phi < \phi_{\mathrm{c}}$

Simple shear + oscillatory cross shear

Viscosity drop for $\dot \gamma_{\perp}/\dot \gamma_0\gg 1$.

Viscosity drop when "echo" experiment + simple shear drift

[Corté et al, Nat. Phys., 2008]